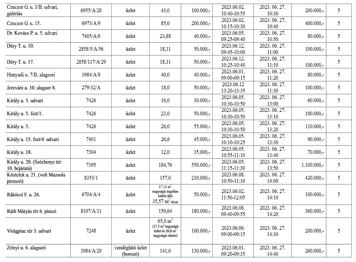
Győr Megyei Jogú Város Önkormányzata a tulajdonában lévő, nem lakás célú helyiségeit bérleti licit útján bérbe adja. A lista terjedelmes és részletes, érdemes hát böngészni.
További információt a licitről Győr Megyei Jogú Város Polgármesteri Hivatalában (9021 Győr, Városház tér 1.), a Vagyongazdálkodási Főosztály Vagyonhasznosítási Osztályán ügyfélfogadási időben, vagy telefonon: a 96/500-236-os és a 96/500-277-es számon kaphatunk.
A részletes hirdetmények a Győr-Szol Zrt. központjában, valamint a www.gyor.hu honlapon Városháza/Vagyonhasznosítási felhívás/Helyiség bérbeadás menüpont alatt tekinthetők meg 2023. május 23. napjától 2023. június 23. napjáig.
A licitajánlatok beérkezésének határideje:
2023. június 23. (péntek) 12:00 óra
a bérleti licit ajánlat benyújtásának helye:
Polgármesteri Hivatal Vagyongazdálkodási Főosztály Vagyonhasznosítási Osztály
a bérleti licit helye:
Győr, Városház tér 1. I. emelet Zechmeister II. terem
A licitre elérhető ingatlanok listáját PDF-fájlban ide kattintva érjük el (a könnyebb olvashatóság érdekében elforgatott táblázatról van szó, nyomtatásra alkalmas verzió), de az alábbi képekre kattintva, nagyobb méretben is megnyílnak.





